Lompat ke konten Lompat ke sidebar Lompat ke footer

Luas Permukaan Limas Segitiga / Rumus Volume Limas Segitiga Dan Rumus Luas Permukaan Limas / L = l alas + l δi + l δii + l δiii.

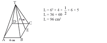
Luas Permukaan Limas Segitiga / Rumus Volume Limas Segitiga Dan Rumus Luas Permukaan Limas / L = l alas + l δi + l δii + l δiii.. Luas permukaan prisma = luas alas + jumlah luas sisi Luas alas abc + (luas tab + luas tbc + luas tca) baca lainnya: Hitunglah luas permukaan sebuah limas segitiga yang semua panjang rusuknya adalah 12 cm. Jadi, luas permukaan limas adalah 96 cm 2. Luas permukaan = 36 √3 3.

Maka luas permukaan limas segiempat beraturan dapat dicari yakni: Membuat file view menu, volum lias dan luas permukaan limas. Luas alas limas yang berbentuk segitiga = 1/2 alas x tinggi = 1/2 6cm x 8cm = 24cm2 luas permukaan limas = luas alas + jumlah luas sisi tegak limas = 24cm2 + 24 cm2 + 32cm2 + 40cm2 = 120cm2 bab iii penutup 1.kesimpulan. Rumus luas permukaan bangun ruang segitiga.pada sisi tegak atau sisi bagian samping memiliki bentuk persegi panjang. Luas permukaan prisma = luas alas + jumlah luas sisi

Rumus Volume Limas Segitiga Dan Rumus Luas Permukaan Limas
Rumus Volume Limas Segitiga Dan Rumus Luas Permukaan Limas from rumusrumus.com
Rumus luas permukaan bangun ruang segitiga.pada sisi tegak atau sisi bagian samping memiliki bentuk persegi panjang. Adalah panjang alas limas l : Selain itu, kita juga telah memperoleh luas bidang alasnya adalah l a = 1/2 ∙ n ∙ s ∙ t atau l a = 1/2 ∙ k ∙ t. Adalah luas permukaan limas p: Jadi, luas alas limas segitiga tersebut adalah 126 cm 2. Luas alas limas yang berbentuk segitiga = 1/2 alas x tinggi = 1/2 6cm x 8cm = 24cm2 luas permukaan limas = luas alas + jumlah luas sisi tegak limas = 24cm2 + 24 cm2 + 32cm2 + 40cm2 = 120cm2 bab iii penutup 1.kesimpulan. Sehingga luas dari permukaan limas beraturan adalah l = l s + l a = 1/2 ∙ n ∙ s ∙ h + 1/2 ∙. Jadi, luas permukaan limas adalah 96 cm 2.

Rumus untuk mencari volume limas segitiga adalah v= 1/3 x ( 1/2 x panjang x lebar ) x tinggi

Kali ini, kita akan coba membahas mengenai banyak sekali ilmu pengetahuan wacana rumus volume atau isi, rumus menghitung luas permukaan.berbagai macam. 5 = 36 + 60 = 96 cm 2. Rumus luas permukaan limas = luas alas + luas sisi tegak Karena jumlah semua bidang sisi ada 4, maka luas permukaan limas adalah. L segitiga = 32 cm2 t limas = 28 cm. Sebuah limas segitiga memiliki luas alas 32 cm2 dan tinggi 28 cm. L segitiga = 9 x √3 3. Pada folder views ini carilah file welcome_massage.php. Rumus lingkaran lengkap dan contoh soal. Contoh soal luas permukaan limas segiempat. Adalah lebar alas limas t.selimut : Contoh soal luas permukaan limas segitiga pengertian limas limas merupakan bangun ruang yang memiliki alas berbentuk segi n segitiga segi empat atau segi lima bidang sisi tegaknya memiliki bentuk segitiga yang berpotongan pada satu titik. Luas permukaan = 36 √3 3.

Berapakah volume dari bangun limas segitiga tersebut? L segitiga = 9 √3 3. Sehingga luas dari permukaan limas beraturan adalah l = l s + l a = 1/2 ∙ n ∙ s ∙ h + 1/2 ∙. Nah sahabat itu dia pembahasan kali ini, dan sekian dulu. Maka, volume limas segitiga tersebut.

Rumus Volume Dan Luas Permukaan Limas Contoh Soal
Rumus Volume Dan Luas Permukaan Limas Contoh Soal from www.yuksinau.id
Seperti terlihat pada gambar di atas, sisi tegak ditunjukkan oleh a,b, dan c. Luas permukaan limas = luas alas + ½ (keliling alas). Luas permukaan limas segiempat = luas alas + luas sisi tegak. Pada folder views ini carilah file welcome_massage.php. Luas permukaan = 4 x 9 √3 3. Seperti bangun ruang lainnya,kita juga dapat mencari luas permukaan limas. Karena jumlah semua bidang sisi ada 4, maka luas permukaan limas adalah. Adalah lebar alas limas t.selimut :

Jadi intinya copy pastekan file tersebut sebanyak yang dibutuhkan.

Luas permukaan limas = luas alas + ½ (keliling alas). Luas alas abc + (luas tab + luas tbc + luas tca) baca lainnya: Luas permukaan = 4 x 9 √3 3. Membuat file view menu, volum lias dan luas permukaan limas. Diketahui tinggi limas t.abcd adalah 9 cm. Rumus untuk mencari permukaan limas adalah luas alas + jumlah seluruh sisi tegak. Rumus untuk mencari luas alas limas adalah 1/2 x a x t. 45 cm 75 cm 55 cm 175 cm. Adalah panjang alas limas l : Jadi intinya copy pastekan file tersebut sebanyak yang dibutuhkan. V = ⅓ × lalas limas × t limas v = 1/3 × (24 × 12) × 9 v = 864 cm3. Rumus luas permukaan limas segitiga dan contoh soal pengertian limas. Adalah lebar alas limas t.selimut :

5 = 36 + ½. Sepertiga dari luas alas dikalikan dengan tinggi limas. L = (14 cm) 2 √3 Luas permukaan limas tersebut adalah adalah …. Secara umum, luas permukaan limas adalah.

Maretong Rumus Luas Permukaan Limas
Maretong Rumus Luas Permukaan Limas from 1.bp.blogspot.com
Sepertiga dari luas alas dikalikan dengan tinggi limas. Dari kegiatan di atas, kita telah memperoleh luas selimut limas adalah l s = 1/2 ∙ n ∙ s ∙ h atau l s = 1/2 ∙ k ∙ h. Adalah tinggi segitiga selimut d. Adalah luas permukaan limas p: Luas alas abc + (luas tab + luas tbc + luas tca) baca lainnya: Luas permukaan limas segiempat = luas alas + luas sisi tegak. Jadi, luas alas limas segitiga tersebut adalah 126 cm 2. (36 + 15√7) cm2 b.

Rumus untuk mencari permukaan limas adalah luas alas + jumlah seluruh sisi tegak.

Jadi, luas alas limas segitiga tersebut adalah 126 cm 2. Jadi, luas permukaan limas adalah 96 cm 2. Adalah luas permukaan limas p: Maka, volume limas segitiga tersebut adalah 168 cm3. Maka luas permukaan limas segiempat beraturan dapat dicari yakni: Rumus untuk mencari permukaan limas adalah luas alas + jumlah seluruh sisi tegak. Nah sahabat itu dia pembahasan kali ini, dan sekian dulu. Pada folder views ini carilah file welcome_massage.php. L = (14 cm) 2 √3 Rumus untuk mencari luas alas limas adalah 1/2 x a x t. Jadi, luas permukaan limas segitiga adalah 36√3 3 cm². Berapakah volume dari bangun limas segitiga tersebut? 45 cm 75 cm 55 cm 175 cm.

Posting Komentar untuk "Luas Permukaan Limas Segitiga / Rumus Volume Limas Segitiga Dan Rumus Luas Permukaan Limas / L = l alas + l δi + l δii + l δiii."