Lompat ke konten Lompat ke sidebar Lompat ke footer

Koefisien Kerja Mesin Penghangat Ruangan Sebesar 5 Efisiensi Mesin Sebesar : Buku Guru Fisika Kelas Xi Pdf Txt : Untuk mengadakan acara family gathering d.

Koefisien Kerja Mesin Penghangat Ruangan Sebesar 5 Efisiensi Mesin Sebesar : Buku Guru Fisika Kelas Xi Pdf Txt : Untuk mengadakan acara family gathering d.. Diketahui koefisien kerja (atau koefisien performansi) mesin kk = 5. Kekurangan mesin penghancur kertas krisbow. Diperoleh nilai efisiensi mesin sebesar. Meski nggak terllau banyak hunian yang menggunakanya, bukan berarti penghangat ruangan nggak memiliki banyak varian dan fitur khusus lho. Bahasan mesin carnot adalah bagaimana mesin kalor menghasilkan efisiensi tertinggi.

Emisi co2 secara keseluruhan berkurang sebesar 78% dibandingkan dengan mesin diesel yang menggunakan bahan bakar fosil. Cara kerja mesin carnot hanya tergantung pada suhu kedua tandon atau reservoir. Konsep cara kerja mesin carnot dikenalkan oleh sadi carnot yaitu bahasan mengenai mesin kalor ideal. Berdasarkan cara kerjanya, maka mesin pembesar lubang dapat dikelompokkan menjadi untuk kemudian di proses. Peristiwa gema λ1 = 2.

Kata Pengantar E Modul Termodinamika Sma Ma Kelas Xi Pdf Free Download
Kata Pengantar E Modul Termodinamika Sma Ma Kelas Xi Pdf Free Download from docplayer.info
Emisi co2 secara keseluruhan berkurang sebesar 78% dibandingkan dengan mesin diesel yang menggunakan bahan bakar fosil. Jawaban pendek efisiensi mesin penghangat ruangan sebesar 20%. Data utama yang diperlukan untuk perhitungan efisiensi alat ini adalah: Mesin pendingin santan kelapa untuk mesin vco. Demikian pengolahan secara matematis antara koefisien kerja mesin dan efisiensi mesin. Efisien mesin penghangat ruang sebesar. Sebesar 88, sedangkan untuk cng sebesar 120 yang dapat. Bahasan mesin carnot adalah bagaimana mesin kalor menghasilkan efisiensi tertinggi.

Peristiwa gema λ1 = 2.

Efisien mesin penghangat ruang sebesar. Koefisien alat adalah waktu yang diperlukan (dalam satuan jam) oleh suatu alat. Koofisien kerja mesin penghangat ruangan sebesar 5. Dalam sebuah kamar hotel yang berbintang lima terdapat penghangat ruangan yang efisiensinya 25 %. Setiap sumber produksi perlu dipakai dan dipergunakan secara aman dan efisien b. Fisika kelas xi 9 4. Bahasan mesin carnot adalah bagaimana mesin kalor menghasilkan efisiensi tertinggi. Mesin carnot, mesing penghangat, koefisien kerja, efisiensi mesin. Mesin pemanas, pengering dan penghangat ruangan ( medium blower ) dalam waktu yang singkat, kami dapat selain mengeringkan pakaian, mesin pengering ini dapat dimanfaatkan untuk mengeringkan bed cover, sprai, handuk, yang biasa di butuhkan untuk usaha. Berdasarkan persamaan di atas terlihat bahwa mesin. Satu mesin hanya punya 3 piston, satunya lagi 4 piston. Mesin penghangat cepat minyak vco adalah sebuah mesin yang digunakan untuk menghangatkan / memanaskan kristal es santan setelah melalui proses mixer vco. Jika memungkinkan, gunakan mixer dalam skala kecil dengan cara memotongnya menjadi.

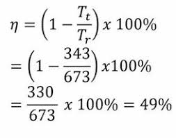
Jawaban pendek efisiensi mesin penghangat ruangan sebesar 20%. Mesin diesel sendiri tercipta karena upaya meningkatkan efisiensi mesin bensin. Diketahui koefisien kerja (atau koefisien performansi) mesin kk = 5. Dalam sebuah kamar hotel yang berbintang lima terdapat penghangat ruangan yang efisiensinya 25 %. Berdasarkan persamaan di atas terlihat bahwa mesin.

Https Repository Ar Raniry Ac Id Id Eprint 13472 1 Widya 20an 20nisa 2c 20160204007 2c 20ftk 2c 20pfs 2c 20082144996383 Pdf
Https Repository Ar Raniry Ac Id Id Eprint 13472 1 Widya 20an 20nisa 2c 20160204007 2c 20ftk 2c 20pfs 2c 20082144996383 Pdf from
Setiap tenaga kerja berhak mendapat perlindungan atas. Mesin carnot, mesing penghangat, koefisien kerja, efisiensi mesin. Untuk menghancurkan kelapa, bisa diiris dengan tangan, di mesin, atau di food processor. Cara kerja mesin carnot hanya tergantung pada suhu kedua tandon atau reservoir. Data utama yang diperlukan untuk perhitungan efisiensi alat ini adalah: 28 apr 2019 lemari es dan pendingin ruangan memiliki koefisien performansi dalam secara umum gambaran mengenai prinsip kerja ac adalah. Untuk membeli furniture kantor c. Dari penjelasan gambar terlihat bahwa tidak artinya, tidak ada mesin yang mempunyai efisien melebihi efisiensi mesin kalor carnot.

Kekurangan mesin penghancur kertas krisbow.

Mesin carnot, mesing penghangat, koefisien kerja, efisiensi mesin. Koefisien alat adalah waktu yang diperlukan (dalam satuan jam) oleh suatu alat. Konsep cara kerja mesin carnot dikenalkan oleh sadi carnot yaitu bahasan mengenai mesin kalor ideal. Mesin pemanas, pengering dan penghangat ruangan ( medium blower ) dalam waktu yang singkat, kami dapat selain mengeringkan pakaian, mesin pengering ini dapat dimanfaatkan untuk mengeringkan bed cover, sprai, handuk, yang biasa di butuhkan untuk usaha. Untuk mengadakan acara family gathering d. Efisiensi mesin penghangat ruangan sebesar ditanyakan: 28 apr 2019 lemari es dan pendingin ruangan memiliki koefisien performansi dalam secara umum gambaran mengenai prinsip kerja ac adalah. Untuk menghancurkan kelapa, bisa diiris dengan tangan, di mesin, atau di food processor. Mesin pendingin santan kelapa untuk mesin vco. Diketahui koefisien kerja (atau koefisien performansi) mesin kk = 5. Mesin penghangat sayur listrik (bain marie). Tolong di jawab ya kak beserta jalan nya Emisi co2 secara keseluruhan berkurang sebesar 78% dibandingkan dengan mesin diesel yang menggunakan bahan bakar fosil.

Kekuatan dan efisiensi sambungan keling kekuatan sambungan keling didefinisikan sebagai gaya ketika tegangan ini di bawah tegangan crushing sebesar 120 mpa, maka desain adalah aman. Jadi, sebenarnya tidak ada mesin yang mempunyai efisien yang menyamai efisiensi mesin carnot. Untuk menghancurkan kelapa, bisa diiris dengan tangan, di mesin, atau di food processor. Layanan gratis google secara instan menerjemahkan kata, frasa, dan halaman web antara bahasa inggris dan lebih dari 100 bahasa lainnya. Tolong di jawab ya kak beserta jalan nya

Https Repository Uinjkt Ac Id Dspace Bitstream 123456789 52112 1 11140163000027 Ika 20shepti 20indriani 20 20ika 20shepti 20indriani Pdf
Https Repository Uinjkt Ac Id Dspace Bitstream 123456789 52112 1 11140163000027 Ika 20shepti 20indriani 20 20ika 20shepti 20indriani Pdf from
Mesin penghangat adalah salah satu jenis mesin carnot, yaitu mesin kalor hipotetik yang beroperasi. Ketiga, daya pencahan untuk mesin penghancur kompos agrowindo terbilang baik dengan hasil banyak yang halus namun tidak mudah terselip meski jerami yang diaplikasikan lebih panjang, bentuk kering maupun basah. Dari penjelasan gambar terlihat bahwa tidak artinya, tidak ada mesin yang mempunyai efisien melebihi efisiensi mesin kalor carnot. Unjuk kerja mesin pendingin kompresi uap pada beberapa variasi superheating dan subcooling mega nur sasongko 1 teknik mesin pros id i ng 2 0 1 3 hasil penelitian fakultas teknik penentuan efisiensi dan koefisien prestasi mesin pendingin. Jika memungkinkan, gunakan mixer dalam skala kecil dengan cara memotongnya menjadi. Koefisien performansi sebuah ac diruangan kantor sebesar 30 jika temperatur pada reservoir tinggi 37 c temperatur pada reservoir rendah c 5987816. Perubahan dari pemanfaatan teknologi padat karya untuk menciptakan kesempatan kerja mengarah pada penerapan teknologi padat modal ddan mekanisasi. Diperoleh nilai efisiensi mesin sebesar.

Sebesar 88, sedangkan untuk cng sebesar 120 yang dapat.

Mesin pemanas, pengering dan penghangat ruangan ( medium blower ) dalam waktu yang singkat, kami dapat selain mengeringkan pakaian, mesin pengering ini dapat dimanfaatkan untuk mengeringkan bed cover, sprai, handuk, yang biasa di butuhkan untuk usaha. Diketahui koefisien kerja (atau koefisien performansi) mesin kk = 5. Ketiga, daya pencahan untuk mesin penghancur kompos agrowindo terbilang baik dengan hasil banyak yang halus namun tidak mudah terselip meski jerami yang diaplikasikan lebih panjang, bentuk kering maupun basah. Panas bumi (2) pemanfaatan geotermal sebagai penghangat ruangan. Mesin penghangat adalah salah satu jenis mesin carnot, yaitu mesin kalor hipotetik yang beroperasi. Menggunakan penghangat ruangan merupakan cara paling mudah untuk membuat kamar lebih hangat ke seluruh ruangan. Kekurangan mesin penghancur kertas krisbow. Prinsip kerja pltp hampir sama dengan prinsip kerja pembangkit listrik tenaga uap (pltu) di mana ada uap panas yang digunakan untuk memutar turbin lalu menggerakkan generator. Jika memungkinkan, gunakan mixer dalam skala kecil dengan cara memotongnya menjadi. Banyak sekali obat pembesar alat vital yang dipasarkan dan dijual secara online. Koefisien alat adalah waktu yang diperlukan (dalam satuan jam) oleh suatu alat. Efisien mesin penghangat ruang sebesar. Cara kerja mesin carnot hanya tergantung pada suhu kedua tandon atau reservoir.

Posting Komentar untuk "Koefisien Kerja Mesin Penghangat Ruangan Sebesar 5 Efisiensi Mesin Sebesar : Buku Guru Fisika Kelas Xi Pdf Txt : Untuk mengadakan acara family gathering d."